全球市場質譜產品臨床應用預計增速20%以上,美國臨床質譜占醫學檢測超過15%,國內臨床質譜潛在市場約300億;但是長期以來,國內臨床診斷的高端質譜分析儀器被國外主要廠家壟斷。
EXPEC 5210 型 超高效液相色譜-三重四極桿串聯質譜聯用儀(以下簡稱 EXPEC 5210)是聚光科技旗下子公司譜育科技在“國家重大科學儀器設備開發專項”支持下,采用一系列創新的質譜技術,研制出的擁有自主知識產權的國產三重四極桿串聯質譜。憑借卓越的靈敏度、優異的穩定性、突出的可擴展性和簡單易學的全中文操作軟件,未來將成為臨床質譜檢測快速發展的新引擎,并可推動臨床質譜檢測技術真正成為普惠大眾的精準診斷技術。

目前,EXPEC 5210 在臨床診斷領域得到了廣泛的應用測試,包括新生兒遺傳代謝病篩查、治療藥物濃度監測、維生素含量檢測等。

新生兒遺傳代謝病篩查
利用EXPEC 5210 做遺傳代謝病篩查項目,可以一針進樣分析新生兒干血斑中的80余項氨基酸和酰基肉堿檢測指標,僅需2分鐘即可篩查40余種遺傳代謝疾病信息,快速高效。

治療藥物濃度監測

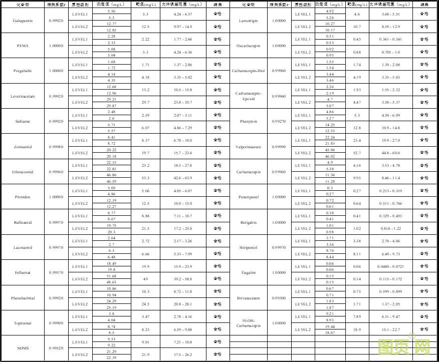
EXPEC 5210 可通過質譜離子源正負離子切換,實現一針進樣,6分鐘內完成27種精神類藥物濃度監測,結果穩定、準確,滿足臨床高通量檢測需求。

免疫抑制劑因其治療窗窄,在臨床應用中需進行治療藥物監測,所測值作為臨床評價療效及毒副反應的指標。傳統免疫學方法進行血藥濃度監測時特異性較差,不能完全區分免疫抑制劑與其代謝物;再者,其較大的分子量也加大了監測難度。EXPEC 5210可實現3min內完成3種免疫抑制劑——他克莫司、西羅莫司、依維莫司的濃度監測,線性、重復性良好。

血清中脂溶性維生素檢測
維生素又名維他命,是維持人體正常功能的重要活性物質,參與人體正常的新陳代謝和細胞調節過程,為人體生長和發育所必需。維生素攝入不足或過量對人體的健康都會產生較大影響。因此,如何維持合適的維生素水平成為了營養學家和臨床醫生的研究熱點,通過質譜法對維生素水平進行精準定量,可以為臨床診斷和治療提供更加可靠的依據。
EXPEC 5210 針對維生素ADE的檢測采用梯度洗脫條件,在縮短分析時間的同時獲得了較好的去介質及分離效果,一針進樣可得到VA、25-OH-VD2、25-OH-VD3、VE檢測結果,滿足臨床的高通量需求。同時在前處理過程中添加同位素內標后,消除了不同基質樣本中內源性物質對檢測物的影響,大大提高了檢測結果的準確性。




















手機圖頁網



